| Si raccomanda di consultare le AVVERTENZE prima di
leggere il testo. La versione scaricabile in formato Word della III parte (capp. 9-10) è disponibile qui. |
PARTE III ASPETTI TECNICI E STATISTICI
Cap. 9 La redazione di prove oggettive
9.1. Formulazione dei quesiti
Più volte, nel corso dei precedenti capitoli, abbiamo accennato alla necessità di organizzare i quesiti nell'ambito di test opportunamente strutturati. Vediamo ora quale possa essere un itinerario-tipo che conduca alla redazione ed alla sperimentazione efficace di un test.
Le principali fasi della costruzione di un test sono:
1 ) La definizione esatta del tipo di prova che si intende realizzare: oggetto, scopi, metodi, tecnica, livello, ecc.
2) L'inventario del lessico, delle strutture e degli elementi di civiltà che si presuppongono noti agli allievi e sui quali deve essere condotta la verifica.
3) La redazione di un numero adeguato di quesiti ed il loro raggruppamento in subtest corrispondenti alle varie sezioni della prova (pronuncia, morfosintassi, ecc.).
4) La somministrazione del test ad un congruo numero di allievi per la raccolta di dati sulla validità dei quesiti.
5) L'elaborazione statistica dei dati ottenuti.
6) La revisione dei quesiti poco validi (nel qual caso occorre un secondo pre-testing) o la loro eliminazione.
7) La somministrazione della forma finale e l'elaborazione dei punteggi.
La prima fase è fondamentale perché dall'accuratezza delle premesse dipenderà la validità di tutto il lavoro successivo. Prima di procedere a qualunque altra operazione, il redattore di un test deve chiarire a se stesso gli obiettivi che si prefìgge ed il modo in cui tende a raggiungerli. Si consiglia di indicare i punti essenziali per iscritto, anche se schematicamente, ad esempio così:
"Inglese, II media. Passato dei verbi regolari ed irregolari: difficoltà ortografiche. Quesiti a scelta tripla (almeno 25). Lessico e strutture: fino al cap. XV del testo".
In questo caso, non si pongono problemi particolari per la definizione del lessico e delle strutture interessati, in quanto si tratta di un test specifico, nel senso indicato al par. 3.5. Sarà sufficiente controllare che effettivamente i quesiti operino solo nell'ambito prestabilito.
È piuttosto facile incorrere nell'errore di non rispettare i limiti del patrimonio linguistico dell'allievo; tale errore lo si riscontra, solitamente, non nel punto focale del test (su cui il redattore concentra la propria attenzione) ma in quelli apparentemente marginali: nelle frasi che servono a contestualizzare il quesito, o nelle alternative errate. Naturalmente la presenza di elementi estranei in qualunque punto del quesito è sufficiente per bloccare l'esaminato o per condurlo fuori strada. In questa fase di redazione la massima cura dovrà essere prestata per evitare gli altri errori di redazione dei quesiti, di cui ci siamo già ampiamente occupati, e che pertanto ci limitiamo a richiamare:
— formulazione di quesiti non funzionali al tipo di verifica desiderato;
— formulazione di quesiti poco chiari, ambigui, o che ammettono più risposte;
— ingiustificata concentrazione di difficoltà di tipo diverso in un solo quesito, ovvero insufficiente definizione del contesto.
Lavorando con molta attenzione e criticando rigorosamente ciascun quesito è possibile evitare sin dall'inizio gli errori di formulazione; è tuttavia consigliabile predisporre più quesiti di quanti ne occorreranno nella redazione definitiva del test, in modo da poter eliminare quelli che, al controllo, risulteranno meno validi.
Se il test si compone di quesiti diversi tra loro per l'oggetto della verifica e/o per la tecnica impiegata (quesiti sulla pronuncia, sul lessico, sulla morfosintassi; domande a scelta multipla o completamento, ecc.) è buona norma raggruppare i diversi tipi di quesiti in altrettanti subtest, che costituiranno le varie parti in cui si articolerà il test. Ogni subtest inizia fornendo agli allievi le istruzioni per lo svolgimento della prova.
Salvo che particolari motivi di ordine metodologico inerenti, ad esempio, al contenuto del test, non lo sconsiglino, nell'ambito di ogni subtest (o dell'intero test, se la sua omogeneità è tale da non richiedere suddivisioni) i quesiti saranno riordinati a seconda della loro difficoltà, iniziando con i più facili. In un primo momento l'insegnante valuterà le difficoltà soggettivamente, sulla base della propria esperienza; in seguito al pre-testing, vi sarà un riordinamento che tiene conto dell'indice di facilità.
In questa fase di assemblaggio del test si farà attenzione a che le risposte dei quesiti a scelta multipla si susseguano in modo assolutamente casuale e imprevedibile, come BCAABCACC... onde evitare schemi ciclici (ABCABCABC...; AACCBBAACCBB...; ABCBA-ABCBA...) sui quali potrebbe basarsi qualche allievo. È anche opportuno che le alternative compaiano con frequenza pessoché uguale: su 25 quesiti a scelta tripla, la distribuzione delle alternative sarà 8+8+9, 7+9+9 o anche 7+8+10; altre distribuzioni sarebbero eccessivamente sbilanciate, con la netta preponderanza di una delle tre alternative rispetto alle altre. Tutto ciò ha ovviamente lo scopo di ridurre quanto più possibile l'eventualità che l'allievo individui la risposta esatta lavorando a caso o basandosi su fattori estranei al contenuto linguistico della prova.
9.2. Scelte multiple e risposte date a caso
È altamente improbabile indovinare tutte le risposte grazie ad una combinazione fortunata, anche con quesiti a due sole alternative come quelli del tipo uguale/diverso, vero/falso, giusto/sbagliato, ecc.
In un test comprendente 50 di tali quesiti, si ha una sola probabilità su oltre un milione di miliardi. Agli appassionati del Totocalcio o di concorsi analoghi è ben nota la difficoltà di azzeccare tutte le risposte a 12 o 13 quesiti a scelta tripla, quali sono appunto i pronostici dati col sistema 1-X-2.
Se la probabilità di fornire il 100% di risposte esatte lavorando a caso è pressoché trascurabile, è invece rilevante la possibilità di indovinare un numero tale di risposte da influire sensibilmente sul punteggio complessivo. Questa probabilità (espressa in frazioni o in percentuali) è facilmente determinabile: 1/2 (50%) per i quesiti a scelta binaria; 1/3 (33,3%) per quelli a scelta tripla; 1/4 (25%) per quelli a scelta quadrupla; 1/5 (20%) per quelli a scelta quintupla, e così via: il denominatore della frazione corrisponde al numero delle alternative.
Nel calcolo dei punteggi in test basati sulle scelte multiple si usa ricorrere ad una formula correttiva per scoraggiare la tendenza ad indovinare, penalizzando le risposte errate. Poiché invece nessuna penalizzazione è prevista per le risposte omesse, ai fini del punteggio globale all'allievo conviene non rispondere a quei quesiti dei quali non conosce la risposta con sufficiente sicurezza. Ciò, ovviamente, richiede che si informino gli allievi dell'esistenza di una penalizzazione ogni volta che si intende calcolare il punteggio usando la formula correttiva.
Tale formula si basa sulla cosiddetta ipotesi nulla. Lo studente che desse 25 risposte esatte a 100 quesiti a scelta quadrupla fornirebbe esattamente la stessa prestazione che avrebbe presumibilmente raggiunto lavorando a caso. Nell'ipotesi nulla, tale prestazione coincide con il punteggio zero. A tale punteggio si giunge osservando che, per ogni quesito, le risposte errate possibili sono tante quante le alternative meno una (dato che una delle alternative corrisponde alla risposta giusta). Pertanto il punteggio probabile si calcola con la formula
P = E – S / ( n—1)
in cui P è il punteggio che tiene conto della probabilità di dare risposte esatte lavorando a caso; E è il numero delle risposte esatte, da cui va sottratto il numero delle risposte sbagliate S dopo averlo diviso per il numero n delle alternative diminuito di 1.
Applicando la formula all'esempio precedente (25 risposte esatte e 75 sbagliate in un test a scelta quadrupla) si ottiene:
P = 25 — 75 / (4—1) = 25 — 75/3 = 25 — 25 = 0
L'uso della formula presenta limiti precisi e non è esente da critiche, tuttavia essa può essere utilmente adottata nella maggior parte delle normali situazioni di impiego dei test. Si noti che con l'applicazione della formula noi riusciamo a distinguere tra loro lo studente che dà (per tornare all'esempio) 25 risposte esatte e 75 errate, dallo studente che dà solo le 25 risposte esatte, omettendo di rispondere a tutte le altre. In tal caso la formula dà:
P = 25 – 0/(4-1) = 25 - 0 = 25
ossia un punteggio positivo. Impostando la questione in questo modo si presuppone che questo secondo allievo abbia fatto una scelta precisa tra i quesiti, e non abbia risposto a caso. In tal senso sarebbe giusto che anche nel punteggio la sua prestazione venga giudicata diversamente dall'altra, in senso positivo. D'altronde si potrebbe osservare che l'omissione di una risposta è, di fatto, un'ammissione di ignoranza, di incapacità a risolvere il quesito; non vi sarebbe, in altre parole, una notevole differenza qualitativa tra una risposta sbagliata ed una omessa. Evidentemente entrambe le tesi sono plausibili, anche perché non è possibile, di solito, conoscere la genesi degli errori (ignoranza, confusione, distrazione, tentativo di indovinare, o altro) né l'esatta motivazione dell'astensione (ignoranza della risposta, insicurezza, mancanza di tempo, ecc.). Le stesse risposte esatte potrebbero essere casuali non solo in quanto frutto di tentativi fortunati, ma anche in quanto conseguenza di scelte effettuate in funzione di un ragionamento sbagliato. Sarà compito dell'insegnante giudicare nelle singole situazioni il valore da attribuire ai punteggi ed agli effetti della formula correttiva, sulla base del tipo di prova effettuata, dell'atteggiamento degli allievi nello svolgimento della prova, del tipo di preparazione prossima e remota e di ogni altro dato disponibile.
Nessuna prova, oggettiva o tradizionale che sia, può infatti garantire l'assenza di "inquinamenti", quali appunto le risposte esatte casuali; anche dei processi mentali attraverso cui l'allievo giunge a formulare le sue risposte o a svolgere le prove non è solitamente possibile avere la chiara visione, e bisogna da un lato prendere atto dei dati oggettivi relativi alle varie prestazioni, dall'altro elaborare tutta una serie di prove che possano permettere all'insegnante una attenta verifica anche del modo in cui l'allievo lavora.
9.3. Il pre-testing
La quarta fase (somministrazione del test sperimentale per la raccolta di dati) è anche detta "fase di pre-testing". Attraverso di essa si tende a controllare la validità dei singoli quesiti ed a determinare il grado di efficienza globale della prova. Di conseguenza, i risultati dei singoli allievi debbono essere impiegati prima per verificare l'attendibilità del test e poi (solo nel caso che tale verifica dia esito positivo) per giudicare del grado di preparazione degli allievi stessi.
Il campione di studenti ai quali viene somministrato il test sperimentale dovrebbe essere il più vasto e rappresentativo possibile; ciò tuttavia non è facilmente realizzabile nella maggioranza delle situazioni in cui si trovano ad operare gli insegnanti, per cui ci si potrà adattare a lavorare sui risultati ottenuti in due o tre classi parallele o (al limite) anche in una sola classe. È evidente che anche nel nostro caso, come per tutte le sperimentazioni, la collaborazione di più insegnanti nell'ambito della stessa scuola consentirebbe di raggiungere i migliori risultati.
Agli allievi vengono distributi i fogli (o fascicoli) d'esame, contenenti i quesiti e le istruzioni per la corretta esecuzione della prova, e i fogli per le risposte. Questa procedura di somministrazione è la stessa alla quale abbiamo fatto cenno al par. 4.3. Il foglio-allievo per il pre-testing recherà appositi spazi nei quali annotare i dati ricavati dalla correzione: risposte esatte, sbagliate ed omesse, nonché altre eventuali notizie di cui si volesse tener conto — per esempio, il tempo impiegato a terminare la prova.
La massima cura dovrà essere prestata affinchè sul foglio-allievo siano chiaramente e facilmente determinabili gli spazi nei quali scrivere le risposte (quesiti con completamento) oppure le lettere corrispondenti alle alternative (quesiti a scelta multipla). Per ridurre al minimo l'eventualità di errori materiali nel segnare la risposta ai quesiti il foglio-allievo riporterà tutte le indicazioni contenute nel fascicolo d'esame e che servono a identificare i quesiti: ad esempio, i titoli dei subtest, il numero progressivo che contrassegna i quesiti, eventuali parole-chiave. È opportuno che la numerazione sia unica anche se la prova si articola su più parti; in caso contrario potrebbe darsi che qualcuno dia la risposta al quesito n. 3 del secondo subtest segnalandola nello spazio per la risposta al n. 3 del terzo (o primo, quarto, quinto, ecc.) subtest. Ciò si evita molto facilmente, contrassegnando con un dato numero un solo quesito in tutto il test.
A questo punto tralasciamo altri dettagli tecnici relativi alla redazione e presentazione del test, ritenendo sufficienti le indicazioni fornite perché ognuno possa preparare materiali di testing ben costruiti anche dal punto di vista dell'accuratezza della realizzazione. Tale accuratezza è peraltro essenziale se non si vuole che la prova possa risultare inficiata da carenze o inesattezze estranee al contenuto del test ma che influiscono ugualmente sul punteggio.
Allo scopo di raccogliere dati su tutti i quesiti in fase sperimentale si possono invitare gli allievi a dare una risposta a tutte le domande, scegliendo l'alternativa ritenuta migliore o, comunque, tentando in ogni caso di risolvere il quesito. Ovviamente questa procedura non è sempre applicabile, specialmente in quelle prove in cui l'esattezza nozionale è di primaria importanza e quindi il chiedere una risposta anche a coloro che non conoscono certi dati si risolverebbe di fatto in una serie di tentativi a caso; ove possibile, però, è preferibile analizzare i quesiti senza l'interferenza delle omissioni. Nel caso che agli allievi si chieda di dare comunque una risposta non dovrà poi essere applicata la formula che penalizza le risposte sbagliate.
Rilevato, per ciascun esaminato, il numero delle risposte esatte, sbagliate ed omesse, si calcolano i singoli punteggi grezzi: questi coincideranno col numero delle risposte esatte se non si usa la formula correttiva, oppure con i punteggi probabili se la formula viene applicata. Sulla base dei punteggi grezzi i fogli per le risposte (detti anche protocolli) vengono riordinati dal migliore al peggiore. Nel caso che sia stato rilevato per ognuno il tempo impiegato per terminare la prova, a parità di punteggio precederanno i test eseguiti in minor tempo.
9.4. Indici di facilità e di discriminazione
Dal punto di vista statistico, la facilità di un quesito altro non è che il rapporto tra il numero di risposte esatte ed il numero di allievi che hanno affrontato il quesito. Pertanto Vindice di facilità (IF) è espresso dalla formula:
IF = E x 100 / N
in cui E rappresenta il numero delle risposte esatte ed N il totale dei protocolli (risposte esatte + sbagliate + omesse). Si esclude quindi ogni giudizio soggettivo sulla presumibile difficoltà della prova: è facile il quesito a cui risponde esattamente il 75% o più degli allievi, è di media difficoltà il quesito con un IF compreso tra 25 e 75, è difficile il quesito a cui rispondono esattamente meno di 25 allievi su cento.
Per discriminazione di un quesito si intende la sua capacità selettiva, ossia di condurre a differenziazioni tra le prestazioni dei vari allievi. Se ad un quesito rispondono tutti esattamente (IF = 100) ovvero nessuno risponde esattamente (IF = 0), tale quesito presenta una capacità di discriminazione nulla, in quanto non è in grado di differenziare gli studenti migliori dai peggiori. È pure nulla la discriminazione in quei quesiti ai quali tanto i migliori che i peggiori danno la stessa percentuale di risposte esatte. Se il quesito è ambiguo o male formulato vi può essere addirittura una discriminazione negativa, ossia i peggiori (seguendo un ragionamento sbagliato) danno più risposte "esatte" dei migliori.
Tra i metodi più usati per il calcolo dell'indice di discriminazione ricordiamo quello di Flanagan. Si debbono dividere i protocolli riordinati in tre gruppi: il primo comprende i migliori (27%), il secondo quelli centrali (46%), e il terzo i peggiori (27%). Per ogni quesito si calcola la percentuale delle risposte esatte del primo gruppo e la percentuale di risposte esatte del terzo gruppo (ossia, su un ipotetico campione di 100 studenti, le prestazioni — in percentuale — dei 27 migliori e dei 27 peggiori). Tali percentuali, riportate su un'apposita tabella, consentono di ricavare l'ID. Non disponendo della tabella, è ugualmente possibile calcolare l'indice di discriminazione mediante la seguente formula:
ID = (M—P) / N
in cui M indica il punteggio (in dati assoluti, non percentuali) del gruppo degli studenti migliori; P il punteggio (in dati assoluti) del gruppo dei peggiori; N il numero degli studenti che compongono il gruppo M (oppure il gruppo P, che ovviamente deve essere composto da un ugual numero di soggetti).
Si supponga, ad esempio, che la risposta esatta sia stata data da 17 studenti su 20 nel gruppo dei migliori e da 6 su 20 nel gruppo dei peggiori:
ID = (17—6) / 20 = + 0,55
Questi indici variano da + 1,00 (discriminazione massima: tutti i soggetti M rispondono esattamente e tutti i P danno risposte errate o si astengono) a — 1,00 (discriminazione rovesciata massima: il caso opposto del precedente). Allo zero corrisponde la discriminazione nulla (M = P); normalmente si ritiene accettabile una selettività minima pari a + 0,20. Rispetto alla formula ora esaminata, l'indice di Flanagan tiene conto non solo della selettività, ma della discriminazione in rapporto anche alla difficoltà del quesito: è infatti intuitivo come i quesiti molto facili o molto difficili non possano agevolmente esprimere una discriminazione alta.
Quando i protocolli da analizzare sono pochi, si preferiscono altri criteri per la verifica della validità dei quesiti a scelta multipla. Ecco una procedura semplice ma efficace:
1. dividere i protocolli in due gruppi (50% dei migliori e 50% dei peggiori punteggi); se i protocolli sono in numero dispari si accantona quello centrale;
2. per ogni quesito, indicare quante volte è stata prescelta ciascuna alternativa dai migliori e quante volte dai peggiori;
3. contrassegnare con un segno convenzionale l'alternativa corrispondente alla risposta esatta;
4. sommare le risposte esatte dei migliori e dei peggiori, per il calcolo dell'IF;
5. analizzare l'andamento delle risposte esatte ed errate in rapporto ai due gruppi.
Esamineremo una serie di casi possibili, supponendo di disporre di trenta protocolli relativi ad un test a scelta tripla.
|
Quesito n. X |
A |
B |
C° |
|
15 migliori |
3 |
2 |
10 |
|
15 peggiori |
7 |
6 |
2 |
|
totali |
10 |
8 |
12 |
II contrassegno ° indica che la risposta esatta è la C. Rispetto ad essa, i migliori hanno risposto assai meglio dei peggiori; il contrario avviene nei confronti delle altre due alternative. Il quesito appare pertanto valido in quanto a selettività. Poiché il totale delle risposte esatte è 12, avremo
IF = 12 / 30 x 100 = 40
|
Quesito n. Y |
A° |
B |
C |
|
15 migliori |
6 |
2 |
7 |
|
15 peggiori |
4 |
9 |
2 |
|
totali |
10 |
11 |
9 |
Analizzando i risultati, si rileva un andamento corretto nei riguardi dell'alternativa A (risposta esatta) e B (errata). L'alternativa C presenta invece l'andamento tipico delle risposte esatte (i migliori l'hanno scelta più dei peggiori); anzi, in tal senso appare più valida dell'alternativa A. Con ogni probabilità il quesito è formulato in maniera ambigua, oppure ammette due soluzioni: esso deve essere scartato ovvero riveduto e corretto. In questo caso, ovviamente, non ha senso calcolare l'IF.
|
Quesito n. Z |
A |
B° |
C |
|
15 migliori |
4 |
11 |
0 |
|
15 peggiori |
8 |
7 |
0 |
|
totali |
12 |
18 |
0 |
L'analisi delle risposte ci rivela un quesito che solo apparentemente è a scelta tripla, mentre in realtà solo due sono le alternative effettivamente operanti. Il fatto che nessuno (nemmeno tra i peggiori) abbia scelto C come risposta, indica che l'alternativa offerta è palesemente errata, inverosimile o assurda. Anche in questo caso il quesito deve essere eliminato o migliorato.
Come appare dagli esempi riportati, anche disponendo di un numero esiguo di elaborati è possibile accorgersi della presenza di quesiti mal formulati o comunque di anomalie nella redazione. Ciò deve indurre gli insegnanti che elaborano i propri test a verificare ogni volta la validità del proprio operato. Sarebbe estremamente grave abbandonare le prove tradizionali — avendone riconosciuto limiti, carenze e pericoli — per ricorrere a test altrettanto poco attendibili, e magari con l'illusione di possedere strumenti più efficaci di misurazione del profitto. Solo attraverso la sperimentazione dei test si potrà disporre di forme finali utilizzabili con sicurezza ogni volta che gli allievi raggiungono certi punti nello sviluppo del programma.
9.5. Affidabilità dei test
II concetto di affidabilità (in parte già illustrato al par. 1.5.), si riferisce alla capacità di un test di fornire dati costanti e coerenti nelle sue successive somministrazioni. Accenniamo brevemente ai tre metodi più frequentemente usati per il controllo dell'affidabilità di un test.
Il primo metodo, detto del test-ritest, prevede la somministrazione del test ad uno stesso gruppo di allievi in due momenti successivi, con un congruo intervallo tra le due prove. È applicabile in quei casi in cui — per il contenuto del test o per le condizioni nelle quali opera il gruppo di allievi — non sussiste il pericolo che intervengano elementi perturbatori tali da alterare sensibilmente i risultati della seconda somministrazione. I risultati delle due prove vengono raffrontati mediante l'uso delle formule per il calcolo degli indici di correlazione (vedi par. 10.5).
Il secondo metodo comporta la redazione di due forme equivalenti dello stesso test, somministrate contemporaneamente, e la correlazione dei risultati ottenuti. La maggiore difficoltà risiede nel garantire l'effettiva equivalenza delle forme parallele e situazioni di somministrazione del tutto equiparabili.
Per ovviare, almeno in parte, a tali difficoltà, si fa talora ricorso al metodo dei semitest: non potendo redigere due forme equivalenti di un test, si somministrano, come se fossero due test paralleli, le due metà del test opportunamente diviso (ad esempio, i quesiti pari e i quesiti dispari). Anche qui il confronto è operato mediante il calcolo della correlazione statistica tra le due serie di risultati.
Questi metodi, ovviamente, non si escludono a vicenda: essi, anzi, possono integrarsi l'un l'altro permettendo di misurare l'equivalenza e la stabilità combinate, mediante la somministrazione di forme equivalenti in momenti successivi. A sua volta, una buona correlazione positiva può confermare l'effettiva coerenza interna del test, sulla base della quale era stata condotta la revisione dei quesiti.
Si tenga tuttavia presente che, pur operando con il massimo rigore metodologico, nessun metodo è in grado di garantire la sicura oggettività dei test, anche se sono possibili alti livelli di sofisticazione nel controllo dell'affidabilità; a volte, si rischia di entrare in circoli viziosi. Ad esempio, la validità dei quesiti viene verifìcata sulla base dei punteggi offerti dal test di cui i quesiti stessi fanno parte. In altre parole, il quesito Y, ritenuto poco valido sulla base delle risposte degli studenti migliori e peggiori, ha esso stesso contribuito a determinare quali fossero i "migliori" e i "peggiori". Gli esperti di testing concordano in genere ad attribuire un valore più teorico che reale a simili obiezioni, riconoscendo peraltro la loro fondatezza: ne abbiamo riferito aftinché non si sopravvalutino le capacità dei test di fornire dati attendibili e indistorti. Ogni insegnante, poi, nella sua situazione didattica specifica, sarà in grado di interpretare correttamente i risultati dei test e di inquadrarli criticamente nell'ambito delle rilevazioni effettuate sul profìtto della classe.
Cap. 10 Elaborazione dei punteggi
10.1. Le medie
II lavoro di analisi statistica che il compilatore dei test deve svolgere non termina con la redazione della stesura definitiva del test. Occorre effettuare tutta una serie di rilevazioni che permettano di interpretare correttamente i punteggi ricavati dalla somministrazione del test ai gruppi di allievi. Per giudicare la difficoltà globale del test, l'ampiezza del "ventaglio" di punteggi, il grado di concordanza dei risultati del test con altre serie di risultati, il valore da attribuire ai singoli punteggi, è necessario calcolare una serie di indici e parametri. Il primo e più semplice di essi è la media aritmetica, che tutti ben conosciamo anche perché nella prassi scolastica a fine trimestre o quadrimestre si "fanno le medie" per determinare il voto.
La media aritmetica (M) si ottiene dividendo la sommatoria (Σ) dei punteggi (x) per il numero (N) dei punteggi stessi:
M = Σ x / N
II calcolo del punteggio medio conseguito dagli allievi in un test ci offre un primo termine di raffronto: anzitutto ci permette di osservare quali allievi abbiano fornito una prestazione superiore alla media e quali invece una prestazione inferiore; in secondo luogo possiamo assumere la media aritmetica come indice della difficoltà globale di un test. Una prova in cui il punteggio medio (espresso su una scala di cento punti) è pari a 58 è, globalmente considerata, assai più diffìcile di un test la cui media aritmetica dei punteggi (sempre riportata a 100) è pari a 90. Di conseguenza, i punteggi grezzi hanno tutti un valore relativo. L'allievo che consegue un punteggio di 78 nel primo test si colloca ben al di sopra della media, mentre lo stesso punteggio nel secondo test potrebbe equivalere ad una prestazione scadente.
La media aritmetica possiede un'importante proprietà: se si sommano algebricamente gli scostamenti (ossia le differenze) di ciascun punteggio dalla media, il totale è uguale a zero. Ricorriamo ad un semplice esempio per chiarire il concetto.
Si abbiano i punteggi: 2, 4, 7, 11; la media aritmetica è:
M = (2+4+7+11) / 4 = 24 / 4 = 6
Gli scostamenti saranno: 2—6 = —4; 4—6 == —2; 7—6 = 1; 11—6 =5, e la loro somma algebrica:
—4—2+1+5=0.
In una serie di punteggi (ordinati dal migliore al peggiore) la mediana (ME) corrisponde al punteggio centrale. Esempio: si abbiano i punteggi 82, 47, 41, 38, 29, 28, 24. La mediana è 38, essendo questo il punteggio centrale della scala, preceduto e seguito da altri tre punteggi. Qualora i punteggi fossero di numero pari (non esiste in tal caso un punteggio centrale), si assume convenzionalmente come mediana la media dei due punteggi centrali; ad esempio, con i punteggi 40, 38, 35, 31, 30, 22, la mediana è
(35 + 31) / 2 = 33
Calcolando la media aritmetica per i due esempi precedenti, si può verificare che media e mediana corrispondono spesso a valori diversi; dell'utilità e della funzione della mediana ci occuperemo in seguito.
La frequenza di un dato statistico corrisponde al numero delle volte in cui tale dato compare in una certa rilevazione. Se in un test 5 allievi hanno conseguito il punteggio 36, si dirà che 5 è la frequenza di tale punteggio. Negli esempi che abbiamo preso in considerazione finora (per il calcolo di medie e mediane) ciascun punteggio appariva una sola volta, ossia la sua frequenza (f) era uguale a 1. Se i singoli punteggi hanno frequenze diverse da 1, per il calcolo della media aritmetica occorre anzitutto moltiplicare ogni punteggio per la rispettiva frequenza, indi sommare i prodotti e dividere il totale per il numero globale dei punteggi. La formula data in precedenza per il calcolo della media aritmetica deve essere così modificata:
M = Σfx / N
Questa media si chiama ponderata perché ciascun dato viene moltiplicato per il suo "peso" (pondus) prima di essere immesso nella formula.
La moda è il dato che presenta la massima frequenza; nei test, è il punteggio conseguito dal maggior numero di allievi.
La media, la mediana e la moda sono misure di tendenza centrale: per loro natura tendono infatti a collocarsi al centro di una graduatoria o di una serie di punteggi.
Per rilevare la moda e calcolare la media ponderata conviene di solito ordinare i dati sotto forma di tabella. Nella prima colonna si riportano i punteggi conseguiti in un test, nella seconda le frequenze di ciascun punteggio e nella terza i prodotti dei punteggi per le rispettive frequenze. La seguente tabella riporta i dati ricavati dalla somministrazione di un test a cento allievi:
|
x |
f |
fx |
|
24 |
1 |
24 |
|
23 |
4 |
92 |
|
22 |
6 |
132 |
|
21 |
11 |
231 |
|
20 |
20 |
400 |
|
19 |
18 |
342 |
|
18 |
15 |
270 |
|
17 |
9 |
153 |
|
16 |
7 |
112 |
|
15 |
4 |
60 |
|
14 |
2 |
28 |
|
13 |
1 |
13 |
|
12 |
1 |
12 |
|
11 |
1 |
11 |
|
N = 100 |
Σ = 1880 |
|
Inserendo i dati nella formula, otteniamo M = 1880 / 100 = 18,8; la moda si ricava direttamente dalla colonna delle frequenze: poiché il punteggio 20 è stato conseguito dal maggior numero di allievi, esso costituisce la moda per quel test. Il calcolo della mediana, in situazioni come questa, presenta qualche difficoltà; per i nostri scopi potrà tuttavia bastare un valore approssimato, desunto dalla distribuzione delle frequenze. Sommando progressivamente le frequenze iniziando dall'alto, riscontriamo che il cinquantesimo e il cinquantunesimo posto in graduatoria sono entrambi occupati da allievi che hanno conseguito il punteggio 19; questo punteggio può quindi essere assunto come valore mediano.
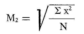
Un'ultima misura di tendenza centrale da prendere in esame (ci servirà in seguito) è la media quadratica, che è la radice quadrata della media aritmetica dei quadrati dei dati:

In pratica, si calcolano i quadrati dei dati e si sommano; il totale viene diviso per il numero dei dati, indi si estrae la radice quadrata del quoziente ottenuto. Il vantaggio principale della media quadratica consiste nell'eliminazione dei segni negativi; infatti qualsiasi numero, positivo o negativo, diventa positivo quando viene elevato al quadrato.
10.2. Distribuzione delle frequenze
Possiamo rappresentare graficamente l'andamento dei dati riportati alla tabella precedente, ottenendo il poligono delle frequenze: l'asse orizzontale del grafico (ascissa) reca i punteggi; l'asse verticale (ordinata) le frequenze.
La linea tratteggiata verticale, in corrispondenza del punteggio 18,8, rappresenta la media aritmetica. Il grafico mette in evidenza come la maggioranza degli studenti abbia conseguito un punteggio superiore alla media; ne è conferma il fatto che il valore della mediana è più alto del valore della media.

Indagini statistiche a vasto raggio hanno dimostrato che se la popolazione considerata è sufficientemente numerosa le frequenze relative a dati antropometrici o psicometrici si distribuiscono secondo una tipica curva a campana che, dal nome del matematico che per primo ne mise in evidenza le proprietà, prende il nome di curva di Gauss. I dati antropometrici sono la statura, il peso, la circonferenza toracica, ecc.; i dati psicometrici sono, ad esempio, i quozienti d'intelligenza, ma anche i punteggi dei test di profitto tendono a distribuirsi secondo lo stesso modello matematico.

Rispetto ai poligoni delle frequenze che possiamo ricavare da un numero limitato di dati, la curva gaussiana presenta alcune notevoli e caratteristiche differenze. Anzitutto, media, mediana e moda coincidono: il dato medio è anche il più frequente, e divide la popolazione in due parti uguali. Se, ad esempio, la statura media dei giovani alla visita di leva, in un certo anno, è cm. 170, il gruppo dei giovani alti cm. 170 è più numeroso di ogni altro gruppo, ed i giovani la cui statura supera tale dato equivalgono per numero a quelli la cui statura è inferiore alla media.
Inoltre, la curva è simmetrica, il che significa che le frequenze diminuiscono in pari misura — quando ci allontaniamo dal dato medio — sia nella direzione dei valori bassi che in quella dei valori alti. Così, ad esempio, il gruppo dei giovani alti cm. 200 (cm. 30 più della media) tende ad essere altrettanto numeroso del gruppo dei giovani alti cm. 140 (cm. 30 meno della media).
Osservando l'andamento della curva, da sinistra verso destra, notiamo che essa all'inizio è concava verso l'alto, poi è convessa per tutta la parte centrale, indi è nuovamente concava verso l'alto. I punti in cui la curva cambia direzione (punti di flesso) hanno notevole importanza per la determinazione della variabilità. Con questo termine indichiamo la possibilità che hanno i valori di disporsi in una gamma più o meno estesa. Nell'esempio da noi considerato, i punteggi variavano da 11 a 24; una variabilità maggiore avrebbe dato luogo ad un poligono più largo, una variabilità minore ad un poligono più stretto. Ritornando alla curva normale, se riportiamo sull'ascissa i punti di flesso A e B e rileviamo a quali dati corrispondono (rispettivamente A' e B'), disponiamo di un dato preciso sulla variabilità dei dati.

Il dato, chiamato deviazione standard, corrisponde all'intervallo tra il valore di M e quello di A oppure B'. Ad una deviazione maggiore corrisponde una curva più larga, ad una deviazione minore una curva più stretta; esse rappresentano rispettivamente una dispersione verso i valori estremi e una concentrazione verso il valore medio. La deviazione standard può essere calcolata, per ogni serie di dati, abbastanza agevolmente per mezzo della formula apposita (v. paragrafo 10.4).
Prima però di passare al calcolo del suo valore occorre approfondire il significato della determinazione dei punti-chiave in una distribuzione normale delle frequenze. È stato calcolato che nell'area compresa tra AA' e BB' si concentra il 68% circa della popolazione; convenzionalmente si attribuisce a questo nucleo centrale la denominazione di norma. Al difuori della norma si colloca quindi il 16% della popolazione con i dati più bassi (nel caso della statura, i nani o comunque le persone notevolmente basse) ed il 16% della popolazione con i dati più alti (i giganti o le persone notevolmente alte).
Nella figura seguente la deviazione standard è stata riportata esternamente una seconda volta in entrambe le direzioni:

Sulla scala dei dati si sono quindi calcolati cinque punti importanti: —2 DS, ossia due volte la deviazione standard in senso negativo; —1 DS, una deviazione standard in senso negativo; M, il valore della media aritmetica; +1 DS, una deviazione standard in senso positivo; +2 DS, il doppio della deviazione standard in senso positivo. Nell'area compresa tra le ascisse corrispondenti a 2 DS (in altre parole, tra le due linee verticali esterne) si colloca il 96% circa della popolazione; all'esterno troviamo quindi il 2% dei dati più bassi ed il 2% dei dati più alti.
10.3. Raffronto di dati e punteggi
Ritorniamo all'esempio della statura e supponiamo di aver calcolato che la deviazione standard è pari a cm. 10. Ne deduciamo che:
a) il 68% dei giovani di leva ha una statura compresa tra cm. 160 (170—10) e cm. 180 (170+10);
b) il 96% di essi ha una statura compresa tra cm. 150 (170—2x 10) e cm. 190 (170+2x10);
c) su un campione rappresentativo di 100 soggetti, un giovane alto cm. 180 supera per statura 84 soggetti, ed è superato da 16;
d) raffrontato allo stesso campione, un giovane alto cm. 150 supera per statura 2 soggetti, ed è superato da 98; analogamente si procede per gli altri punti considerati.
L'indice che riporta i singoli dati su una scala teorica di cento soggetti, tenuto conto della distribuzione normale delle frequenze, si chiama centile. Per le ragioni sopra considerate, al valore della media aritmetica corrisponde il centile 50; a +1 DS il centile 84; a +2 DS il centile 98; a —1 DS il centile 16; a —2 DS il centile 2.
Quale sarà (sempre riferito all'esempio precedente) il centile di un giovane alto cm. 175? Occorre anzitutto calcolare la differenza tra il dato e la media, indi dividere per la deviazione standard:
questo calcolo ci fornisce il punto Z relativo al dato considerato.
Z = (x—M) / DS = (175—170) / 10 = 0,5
Un'apposita tabella permette di ricavare il centile corrispondente al punto Z; nell'esempio considerato, troviamo il valore 69,15, che significa che la statura di cm. 175 fa sì che quel giovane superi altri 69 soggetti e sia superato da 31.
Il calcolo dei centili ci permette quindi di ottenere un parametro per la corretta interpretazione di qualsiasi dato o punteggio. All'inizio del capitolo avevamo accennato al valore relativo dei punteggi; evidentemente, se anziché raffrontarli alla sola media aritmetica possiamo valutarli alla luce di altri indici, usciamo dal vago e dal generico. Il confronto tra dati assoluti non tiene conto della variabilità: un punteggio che supera la media, ad esempio, di 20 punti (su una scala di 100) può essere ottimo o appena discreto a seconda che la deviazione standard sia rispettivamente pari a 8 o a 40.
Il centile è anche un dato di raffronto tra i punteggi ottenuti dallo stesso allievo in test diversi; non è altrimenti possibile confrontare il punteggio 85 ottenuto nel test A con il punteggio 73 ottenuto nel test B, anche sapendo che la media aritmetica è pari a 80 nel primo e a 70 nel secondo.
10.4. Calcolo della deviazione standard
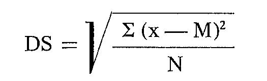
Data una serie di dati o punteggi, la deviazione standard equivale alla media quadratica degli scostamenti dalla media aritmetica, ed è espressa dalla formula:

Analiticamente, la procedura è la seguente:
1) calcolare la media aritmetica (M);
2) sottrarre la media aritmetica da ciascun punteggio, per ottenere gli scostamenti (x — M);
3 ) elevare al quadrato gli scostamenti (x — M)2;
4) sommare i quadrati degli scostamenti: Σ (x—M)2;
5) dividere la sommatoria per il numero dei punteggi N;
6) estrarre la radice quadrata.
Questa procedura si applica quando tutti i punteggi ricorrono una sola volta (ossia la frequenza è uguale a 1); in caso contrario, prima di sommare i quadrati degli scostamenti, occorrerà moltipllcare ciascuno di essi per la rispettiva frequenza.
Ancora una volta, il modo migliore di procedere consiste nel predisporre una tabella riportando tutti i dati occorrenti: completeremo quindi la tabella iniziale con altre tre colonne calcolando gli scostamenti dalla media, i quadrati degli scostamenti, ed i prodotti dei quadrati per le rispettive frequenze:
|
x |
f |
fx |
x—M |
(x—M)2 |
f (x—M)2 |
|
24 |
1 |
24 |
+5,2 |
27,04 |
27,04 |
|
23 |
4 |
92 |
+4,2 |
17,64 |
70,56 |
|
22 |
6 |
132 |
+3,2 |
10,24 |
61,44 |
|
21 |
11 |
231 |
+2,2 |
4,84 |
53,24 |
|
20 |
20 |
400 |
+1,2 |
1,44 |
28,80 |
|
19 |
18 |
342 |
+0,2 |
0,04 |
0,72 |
|
18 |
15 |
270 |
—0,8 |
0,64 |
9,60 |
|
17 |
9 |
153 |
—1,8 |
3,24 |
29,16 |
|
16 |
7 |
112 |
—2,8 |
7,84 |
54,88 |
|
15 |
4 |
60 |
—3,8 |
14,44 |
57,76 |
|
14 |
2 |
28 |
—4,8 |
23,04 |
46,08 |
|
13 |
1 |
13 |
—5,8 |
33,64 |
33,64 |
|
12 |
1 |
12 |
—6,8 |
46,24 |
46,24 |
|
11 |
1 |
11 |
—7,8 |
60,84 |
60,84 |
|
N = 100 Σ = 1880 Σ = 580,00 |
|||||
Poiché la tabella, a prima vista, potrebbe apparire più complicata di quanto essa in effetti non sia, sarà bene chiarire che:
a. le prime tre colonne sono identiche a quelle della tabella precedente;
b. la quarta colonna reca i risultati ottenuti sottraendo 18,8 (che è il valore della media aritmetica) a ciascun punteggio: 23—18,8 = 4,2; 17—18,8 = —1,8, e così via;
c. la quinta colonna è costituita dai quadrati dei numeri della quarta colonna: il calcolo è estremamente facile e rapido disponendo di comunissime tavole numeriche;
d. nell'ultima colonna sono riportati i prodotti ottenuti moltiplicando i quadrati (quinta colonna) per le rispettive frequenze (seconda colonna). La sommatoria di questi prodotti va inserita nella formula per il calcolo della deviazione standard:

II risultato (anch'esso desunto dalle tavole numeriche, senza bisogno di effettuare l'operazione di estrazione della radice quadrata) si può arrotondare a 2,41.
Questo dato, unitamente alla media aritmetica, ci serve per valutare il valore di ciascun punteggio e, eventualmente, per calcolare il centile. Sottraendo la deviazione standard alla media, ad esempio, troviamo il punteggio che corrisponde a —1 DS, e che a sua volta corrisponde al centile 16. Nel nostro caso avremo 18,8—2,41= 16,39: secondo le percentuali calcolate sulla base della curva teorica, al disotto di tale punteggio si dovrebbe trovare circa il 16% dei soggetti. In effetti, se sommiamo il numero di allievi che hanno un punteggio inferiore a 16,39, troviamo che essi sono sedici (su un totale di 100).
Allo stesso modo, possiamo calcolare + 1 DS: 18,8 + 2 41 = 21,21. Al punteggio 21 dovrebbe quindi corrispondere il centile 84: effettivamente possiamo osservare che gli allievi che hanno conseguito quel punteggio occupano nella graduatoria (a pari merito) i posti dal 12° al 22°, e assumendo come valore centrale il 17° posto in graduatoria, si vede come vi sia una notevole vicinanza tra i dati teorici e quelli reali, tenuto anche conto della parte decimale.
Non dobbiamo tuttavia attenderci una corrispondenza perfetta tra la distribuzione delle frequenze nel campione e quella normale espressa dalla curva di Gauss: tale corrispondenza si ha solo con un campione sufficientemente ampio, omogeneo ed equilibrato, mentre nel nostro caso già il poligono delle frequenze denunciava una distribuzione asimmetrica rispetto al valore medio. Ciò spiega come mai, ad esempio, riscontriamo 73 punteggi su 100, invece dei 68 prevedibili, compresi nell'area centrale tra —1 DS e +1 DS ossia tra 17 e 21.
Desiderando calcolare per i punteggi di un test centili attendibili, che possano servire da punto di riferimento per chiunque riutilizzerà il test standardizzato, bisogna effettuare la taratura su un notevole numero di soggetti, così da ottenere un poligono delle frequenze che si avvicini abbastanza alla curva teorica. Nelle normali situazioni scolastiche ciò si realizza difficilmente, e quindi i dati raccolti mediante l'elaborazione dei punteggi vanno opportunamente interpretati.
Il centile, pur rappresentando una misurazione del profitto molto più accurata rispetto al punteggio grezzo fornito da un test, non può di per sé tradursi in un voto convenzionale. Anzitutto occorrerebbe aver precisato ove collocare il livello di sufficienza: se questo viene fatto coincidere con il limite inferiore della norma, al centile 16 può già corrispondere il voto 6. È quindi totalmente assurdo pensare che si possa far corrispondere al centile 80 il volo 8, o al centile 30 il voto 3. Così facendo si dimostrerebbe di non aver capito nulla sulla distribuzione normale delle frequenze; inoltre si avrebbe una preponderanza di voti negativi, dato che al valore medio (centile 50) verrebbe assegnato un 5. Portando il discorso ad un livello più generale, occorre richiamare la distinzione basilare tra valutazione dell'allievo e misurazione del profitto, e mettere in guardia contro ogni tentativo di "meccanizzare" i giudizi.
L'uso corretto dei centili (così come di tutti gli altri dati statistici) consiste nell'impiegarli per verificare i progressi di ogni allievo, o evidenziare le lacune di preparazione per intervenire con una strategia didattica che permetta di condurre lo studente a superarle. In altre parole, la maggior precisione delle misurazioni deve tradursi in un migliore impegno didattico, e non già in un alibi per un atteggiamento selettivo che pretenderebbe di trovare una giustificazione nei risultati "oggettivi" di un test.
10.5. La correlazione statistica
Tutti gli strumenti di misurazione del profitto e di valutazione, siano essi test oggettivi o prove tradizionali, conducono all'attribuzione di classificazioni (voti, punteggi, ecc.) e/o alla formazione di graduatorie. Può essere quindi necessario rispondere a domande come le seguenti:
— In quale misura i risultati della prova A sono confermati da quelli della prova B, ovvero sono in contrasto con essi?
— I punteggi ricavati dalla somministrazione di un test sono, in complesso, compatibili con gli altri dati in possesso dell'insegnante?
La risposta a queste domande è di primaria importanza: se si dovesse accertare che i dati forniti da un test non hanno alcuna conferma negli altri elementi di giudizio a disposizione dell'insegnante, ovvero sono contraddetti da prove analoghe sicuramente affidabili, ciò significherebbe che il test è privo di validità. In tal caso non bisogna tenere conto dei risultati di quel test, che deve essere revisionato radicalmente.
Per risolvere questi problemi la statistica ha elaborato una serie di formule per il calcolo dell'indice di correlazione (r), che esprime il grado di corrispondenza esistente tra due serie di dati. L'indice è espresso da un numero compreso tra +1,00 e —1,00. Al valore di +1,00 corrisponde una correlazione diretta perfetta, come quella che intercorre tra il peso e il peso specifico di una serie di oggetti (a parità di volume); a —1,00 equivale una correlazione perfetta inversa, come quella tra le velocità ed i tempi necessari per percorrere un dato tragitto; lo zero indica l'assenza di correlazione tra le due serie di dati prese in esame.
Il concetto di correlazione non deve essere confuso con quello di causalità. Se si confrontano i dati annuali relativi all'andamento delle morti per annegamento con quelli sull'andamento annuo delle vendite dei gelati, si riscontra un'alta correlazione positiva, senza che peraltro uno dei due fenomeni sia la causa (o l'effetto) dell'altro: una terza variabile, il caldo, è la verosimile causa di entrambi.
Il metodo più semplice per il calcolo di r sì basa sulle differenze di posizione nelle due graduatorie (rank difference method di Spearman). Dopo aver riordinato gli studenti dal migliore al peggiore in base ai punteggi (separatamente per le due graduatorie), si attribuiscono a ciascuno le posizioni in classifica: al migliore 1, al secondo 2, e così via. Nel caso di studenti a pari merito, si fa la media delle posizioni occupate: se il terzo ed il quarto hanno lo stesso punteggio, attribuiremo ad entrambi 3,5; se il sesto, il settimo e l'ottavo sono a pari merito, avranno tutti la posizione 7. Fatto ciò con entrambe le graduatorie, si confrontano le posizioni, studente per studente, e si calcolano le differenze. Se l'allievo A è ottavo nella prima graduatoria e decimo nella seconda, la differenza (D) è 2. Non occorre indicare se sia +2 o —2, perché l'operazione successiva consiste nell'elevare le differenze al quadrato, e con ciò (come abbiamo già visto) si eliminano i segni negativi.
La sommatoria dei quadrati delle differenze di posizione viene inserita nella seguente formula:

in cui D indica le differenze di posizione in graduatoria e N il numero dei soggetti.
Illustriamo la procedura con un esempio, basato sui risultati conseguiti da un gruppo di sette allievi in due test. Accanto a ciascuno indichiamo: il punteggio nel primo test (x), il punteggio nel secondo test (y), la posizione in graduatoria nel primo test (gx) e nel secondo (gy), la differenza di posizione in graduatoria (D) ed il suo quadrato (D2).
|
Allievo |
x |
y |
gx |
gy |
D |
D2 |
|
A |
35 |
90 |
1 |
1 |
0 |
0 |
|
B |
26 |
75 |
2,5 |
3,5 |
1 |
1 |
|
C |
26 |
73 |
2,5 |
6 |
3,5 |
12,25 |
|
D |
15 |
82 |
4 |
2 |
2 |
4 |
|
E |
12 |
75 |
5 |
3,5 |
1,5 |
2,25 |
|
F |
8 |
74 |
6 |
5 |
1 |
1 |
|
G |
5 |
65 |
7 |
7 |
0 |
0 |
La sommatoria dei dati dell'ultima colonna (Σ D2 = 20,50), assieme al numero degli allievi (N=7), può ora essere immessa nella formula:
r = 1 – (6 x 20,50) / 7(72—1) = 1 - 123 / 7(49—1) = 1- 123 / 7 x 48 = 1 – 123 / 336 = 1-0,36=0,64.
Poiché normalmente si assume 0,40 come indice minimo accettabile di correlazione positiva, possiamo ritenere la correlazione tra i le due graduatorie discreta ma non altissima. Vi sono infatti alcuni I casi notevoli di dissimmetria: ad esempio, l'allievo C, secondo a i pari merito nel primo test, è penultimo nel secondo; l'allievo D, secondo nel secondo test, è solo quarto nel primo. In alcuni casi la formula di Spearman non basta a darci un indice esatto della correlazione tra due serie di punteggi. Nell'esempio seguente:
|
Allievo |
x |
y |
|
A |
9 |
8 |
|
B |
4 |
7 |
|
C |
3 |
6 |
|
D |
1 |
5 |
la correlazione tra le graduatorie è perfetta, e quindi dalla formula ricaviamo r = l,00. Osservando i punteggi si rilevano invece delle dissimmetrie: i valori della prima serie sono distribuiti irregolarmente su un arco molto esteso (da 1 a 9); quelli della seconda serie si collocano ad intervalli regolari e in un arco molto più ristretto. Calcolando il coefficiente di correlazione sulla base dei punteggi (product-moment correlation di Pearson) si ottiene r= 0,945, un indice molto alto ma che evidenzia come la correlazione non sia perfetta.
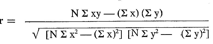
La formula per il calcolo di questo indice è:

In questa formula, oltre a N (numero degli allievi) vanno immessi i seguenti dati:
a) la sommatoria dei punteggi del primo test: Σ x;
b) la sommatoria dei punteggi del secondo test: Σ y;
c) la sommatoria dei quadrati dei punteggi del primo test: Σ x2;
d) la sommatoria dei quadrati dei punteggi del secondo test: Σ y2;
e) la sommatoria dei prodotti ottenuti moltiplicando ciascun punteggio x per il corrispondente punteggio y: Σ xy;
f) il quadrato della sommatoria delle x: (Σ x)2;
g) il quadrato della sommatoria delle y; (Σ y)2.
Anche in questo caso il ricorso ad una tabella si rivela utile e serve a chiarire che anche questo calcolo, sebbene più laborioso dell'altro, non è però più difficile. Utilizzeremo ancora i dati impiegati per il calcolo dell'indice di Spearman:
|
Allievo |
x |
y |
X2 |
y2 |
xy |
|
A |
35 |
90 |
1225 |
8100 |
3150 |
|
B |
26 |
75 |
676 |
5625 |
1950 |
|
C |
26 |
73 |
676 |
5329 |
1898 |
|
D |
15 |
82 |
225 |
6724 |
1230 |
|
E |
12 |
75 |
144 |
5625 |
900 |
|
F |
8 |
74 |
64 |
5476 |
592 |
|
G |
5 |
64 |
25 |
4096 |
320 |
|
Sommatorie |
127 |
533 |
3035 |
40975 |
10040 |
Inserendo le sommatorie nella formula otteniamo:

da cui, svolgendo i calcoli, si ricava r = 0,69.
La differenza (peraltro contenuta nei limiti di un 5%, valore relativamente modesto) tra i risultati forniti dalle due formule è da porre in relazione alla diversità dell'oggetto rilevato.
Si noti che con questa seconda formula si possono confrontare direttamente tra di loro due serie di dati, prescindendo dalla scala su cui essi si collocano: ciò permette, tra l'altro, di raffrontare i punteggi di un test (in centesimi o in qualsiasi altra scala) con i tradizionali voti in decimi. La possibilità di scegliere tra due formule diverse deve essere sfruttata a seconda degli obiettivi che ci poniamo nell'effettuare l'indagine statistica.
10.6. Il testing nella prassi scolastica
Non possiamo ignorare che l'impiego dei test nella normale routine di insegnamento ha suscitato e suscita varie perplessità ed obiezioni. Ad alcune di esse, pensiamo di avere dato una risposta trattando dei singoli problemi; altre, che spesso ci vengono presentate dagli insegnanti, meritano di essere trattate specificamente. Ad esse dedichiamo queste pagine conclusive.
1) La preparazione dei test richiede un notevole dispendio di tempo
È vero. Molto di questo tempo viene però recuperato attraverso una più rapida somministrazione e correzione delle prove, e ciò costituisce anche un vantaggio dal punto di vista didattico nella misura in cui si riesce a comunicare sollecitamente agli allievi il risultato delle prove sostenute e la correzione degli errori. Le più comuni prove tradizionali richiedono tempi relativamente lunghi per essere corrette e accade spesso che gli elaborati vengano riconsegnati agli allievi quando questi hanno dimenticato la genesi dei propri errori e quindi sono interessati essenzialmente al voto. Si tenga poi presente che il tempo impiegato per redigere un test è inversamente proporzionale all'esperienza acquisita in questa attività: le prime volte si procede lentamente e con difficoltà, ma in seguito l'abitudine permette di preparare prove abbastanza complesse anche senza molto tempo disponibile.
2) L'elaborazione statistica dei dati e dei punteggi è difficile, richiede parecchio tempo e la disponibilità di apposite apparecchiature
È solo parzialmente vero. In quanto alla difficoltà e al dispendio di tempo, vale ciò che abbiamo appena osservato a proposito della redazione dei quesiti: dopo le prime volte, l'applicazione delle formule diventa agevole e relativamente rapida. Si consideri poi che non occorre percorrere ogni volta l'intero itinerario di rilevazioni ed elaborazioni statistiche; ciò è indispensabile solo per la preparazione di test standardizzati. Spesso può bastare il calcolo della media aritmetica e della deviazione standard. Abbiamo preso in considerazione alcune formule (tralasciandone peraltro numerose altre) sopratutto per illustrare l'ampia gamma di informazioni che si ricavano da un'analisi statistica e per puntualizzare alcuni concetti essenziali, quali quelli di validità e affidabilità dei test, distribuzione delle frequenze e correlazione. Per i calcoli occorrono le tavole numeriche dei quadrati e delle radici quadrate; disponendo di una calcolatrice, o anche solo di un'addizionatrice tascabile, si può accelerare notevolmente l'esecuzione dei conteggi.
3) La costruzione dei test implica la disponibilità di mezzi ed attrezzature particolari
Non è vero. Un ciclostile e (per i test orali) un magnetofono sono, in linea di massima, tutto quello che occorre; non crediamo che, nella situazione attuale delle scuole italiane, sia eccezionale il disporne.
4) La redazione di test è compito di gruppi di esperti, non di singoli insegnanti
È vero qualora i test debbano servire ad un impiego generalizzato su vasta scala: è il caso dei test di profitto posti in commercio. Altrimenti ciascun insegnante non solo può, ma deve prepararsi i "suoi" test, che vanno bene nelle "sue" classi, esattamente come predispone le prove tradizionali. Naturalmente la collaborazione di altri insegnanti può essere preziosa e contribuire ad evitare errori di impostazione del test, redazione dei quesiti e interpretazione dei risultati.
5) L'impiego dei test richiede all'insegnante conoscenze specifiche che, in genere, l'Università non fornisce agli studenti di lingue
È vero. Tranne alcune eccezioni, le Facoltà di Lingue Straniere non hanno ancora dato adeguato spazio alla linguistica applicata, alla psicolinguistica, ed alla metodologia e didattica delle lingue straniere. L'obiezione quindi si riferisce non al LT come tale, bensì alla preparazione professionale complessiva dell'insegnante di lingue straniere. Coloro che invece possiedono sufficienti nozioni linguistiche e metodologiche non incontrano particolari difficoltà ad affrontare la problematica del testing.
6) Le prove finali previste dagli ordinamenti scolastici non possono essere sostituite dai test
È vero. Del resto non abbiamo mai affermato che i test debbano soppiantare in toto le prove tradizionali: essi servono invece ad assicurare che tali prove vengano affrontate dagli allievi in condizioni ottimali. Far eseguire un riassunto o una composizione dopo aver accertato la padronanza delle strutture linguistiche è assai più produttivo che servirsi delle stesse prove anche per verificare tale padronanza.
7) L'uso dei test provoca un'eccessiva meccanicità nella valutazione ed induce ad accentuare atteggiamenti selettivi
Non è vero: ciò potrebbe accadere solo qualora si confondesse la verifica delle abilità (che è un aspetto della misurazione del profitto) con la valutazione dell'allievo: abbiamo già operato una netta distinzione tra i due concetti e indicato quale sia la corretta impostazione del problema sotto il profilo pedagogico. In quanto all'atteggiamento selettivo, non crediamo che esso possa essere posto in relazione con certi strumenti di verifica piuttosto che con altri, bensì riteniamo che esso debba essere collegato ad una visione globale della funzione della scuola nella società. Sappiamo bene che qualcuno, in particolari situazioni, cerca di avallare le proprie tesi sciorinando risultati di vari test: tenta cioè di far assurgere al rango di valutazioni i dati offerti da un mezzo di misurazione. A questo proposito occorre riaffermare la natura strumentale dei test: come ogni arnese funziona a dovere se si trova in mani esperte, così i test di profitto possono essere mezzi più efficaci — nei confronti delle prove tradizionali — solo se gli insegnanti che ne fanno uso sanno servirsene nell'ambito di una illuminata visione pedagogica, metodologica e didattica.